容量
恒流放电法测量:
1、恒流/恒压源的直流电压设定为额定电压(UR)。
2、设定规定的恒电流放电装置的恒定电流值。
3、将开关S切换到直流电源,在恒流/恒压源达到额定电压后恒压充电30min。
4、在充电30min结束后,将开关S变换到恒流放电装置,以恒定电流进行放电。
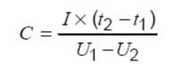
5、测量电容器两端电压从U1到U2的时间t1和t2,如图所示,根据下列等式计算电容量值:



内阻
交流阻抗方法测量
采用如下图所示的电路进行测量:
电容器的内阻Ra应通过下式计算:
其中:
Ra 交流内阻(Ω);
U 交流电压有效值(V r.m.s);
I 交流电流有效值(V r.m.s)。
漏电流
直流漏电流的测量原理如下:
1、放电:该测量开始前,电容器应进行充分放电。放电过程持续1h到24h。
2、漏电流的测量应额定温度和额定电压(UR)。经过最大30min充电时间后达到95%充电电压,充电时间从30min,1h,2h,4h,24h,72h中选择。
3、应使用稳定的电源如直流稳压电源。
4、通过1000Ω以下的保护电阻给电容器施加电压。
自放电
测量开始前,电容器应进行充分放电,放电过程持续1h到24h,在电容器两端直接施加额定电压U,不使用保护电阻,充电时间为8h,包括电压达到施加电压95%的最大30min充电时间,将电容器两端从电压源断开。电容器应置于标准常温常压条件下放置24h。直流电压表的内阻应大于1MΩ。

官方抖音号
QQ咨询:1687188000(客服) Email:info@bigcap.net、1687188000@qq.com 公司地址:辽宁省朝阳市高新技术园区标准化厂房二期3号